suncitygroup太阳新城

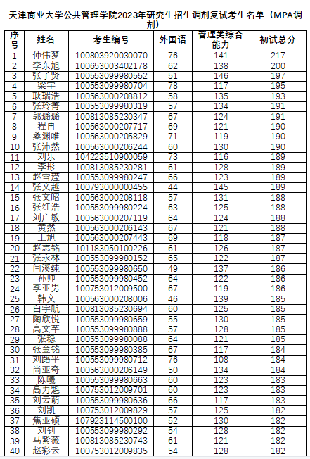
suncitygroup太阳新城2023年研究生招生调剂复试考生名单(MPA调剂)

来源:suncitygroup太阳新城 时间:2023-04-06 点击数:


Copyright © suncitygroup太阳新城(中国)集团-官方网站 版权所有  |  地址:天津市北辰区光荣道409号 suncitygroup太阳新城  | 电话: 022026667609  | 邮编:300134